8-09、9-12型離心風機
產品簡述
1、用途:8-09, 9-12型化鐵爐專用高壓離心風機,適合于1 L/h、 2L/h、3L/h,7L/h熔化率的化鐵爐鼓風性能要求。該風機還可作為各種熔爐鍛冶爐的鼓風用,也適用于輸送空氣及無腐蝕性、不自燃、不含有粘性物質的氣體。輸進介質的溫度不超過80℃,介質中所含的塵土及硬質細顆粒不大于150mg/m3。
2、形式:8-09風機為單吸入,機號有No.6.8A、 7.1 D、 8D、 8.5D、 9D共五種。
9-12風機為單吸入,機號有No6.8A、7.1 A、7.7A、 8D、9D共五個機號。
8-09、9-12型風機均可制成順時針旋轉或逆時針旋轉兩種形式。從電動機一端正視,如葉輪按順時針方向旋轉,稱順時針旋轉風機,以“順”表示,按逆時針方向旋轉,稱逆時針旋轉風機,以“逆”表示。
風機的出口位置以機殼的出口角度表示,“順”、“逆”風機均可制成0°、 90°、180°三種角度。
3、結構特點:8-09、9-12風機由葉輪、機殼、進風口、轉動組、密封件、機座等組成,對于8-09機號采用局部組裝機構,其他機號采用整體機構。
①葉輪葉型按新的前向風機理論進行設計。葉輪成形后經靜、動平衡校正,因此運轉平穩可靠。
②機殼用普通鋼板焊接成蝸形殼整體。
③進風口制成收斂式流線形的整體結構,用螺栓與前蓋板組固定。
④轉動組由主軸、軸承箱,聯軸器等組成,主軸由鋼制成。對于8-09型No.71D,No.BD采用滾動軸承潤滑油脂潤滑,對于8-09型No.8.5、9采用滾動軸承潤滑油潤滑。
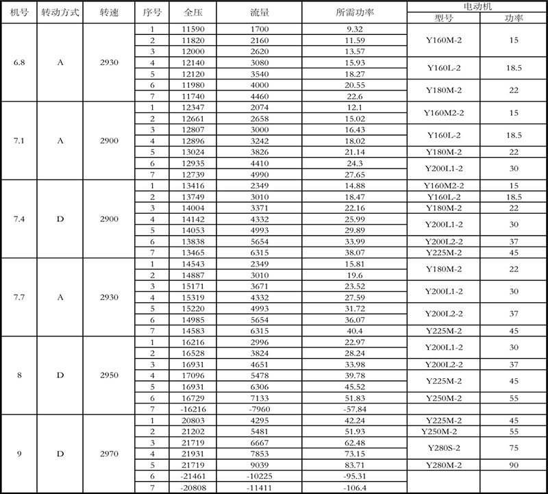
8-09高壓離心通風機性能參數表
2、形式:8-09風機為單吸入,機號有No.6.8A、 7.1 D、 8D、 8.5D、 9D共五種。
9-12風機為單吸入,機號有No6.8A、7.1 A、7.7A、 8D、9D共五個機號。
8-09、9-12型風機均可制成順時針旋轉或逆時針旋轉兩種形式。從電動機一端正視,如葉輪按順時針方向旋轉,稱順時針旋轉風機,以“順”表示,按逆時針方向旋轉,稱逆時針旋轉風機,以“逆”表示。
風機的出口位置以機殼的出口角度表示,“順”、“逆”風機均可制成0°、 90°、180°三種角度。
3、結構特點:8-09、9-12風機由葉輪、機殼、進風口、轉動組、密封件、機座等組成,對于8-09機號采用局部組裝機構,其他機號采用整體機構。
①葉輪葉型按新的前向風機理論進行設計。葉輪成形后經靜、動平衡校正,因此運轉平穩可靠。
②機殼用普通鋼板焊接成蝸形殼整體。
③進風口制成收斂式流線形的整體結構,用螺栓與前蓋板組固定。
④轉動組由主軸、軸承箱,聯軸器等組成,主軸由鋼制成。對于8-09型No.71D,No.BD采用滾動軸承潤滑油脂潤滑,對于8-09型No.8.5、9采用滾動軸承潤滑油潤滑。
8-09高壓離心通風機性能參數表


9-12型高壓離心通風機性能表
